A.M.M.
Membro Júnior-
Posts
12 -
Cadastrado em
-
Última visita
Tipo de conteúdo
Artigos
Selos
Livros
Cursos
Análises
Fórum
Tudo que A.M.M. postou
-
@Leonardo0308@AdrianoSiqueira Fiz como vocês aconselharam e não deu certo. O que será que está atrapalhando? <> <>
-
Boa tarde, estou tentando implementar um programa que leia o nome, sexo, idade, telefone, CPF, RG e endereço em c. Mas na hora de entrar com as informações ele só permite o nome depois ele não deixa entrar mais nada e termina o programa. Não sei o que está acontecendo de errado, podem me ajudar? <> #include <stdio.h> #include <stdlib.h> int main() { char nome, sexo, endereco; int idade, telefone, CPF, RG; printf("\n Diga seu nome:", nome); scanf("%c", &nome); printf("\n Diga seu sexo:", sexo); scanf("%d", &sexo); printf("\n Diga sua idade:", idade); scanf("%c", &idade); printf("\n Diga seu telefone:", telefone); scanf("%d", &telefone); printf("\n Diga seu CPF:", CPF); scanf("%c", &CPF); printf("\n Diga seu RG:", RG); scanf("%d", &RG); printf("\n Diga seu endereço:", endereco); scanf("%c", &endereco); }
-
Outro Programa em scilab: dizer se o aluno foi aprovado ou não
A.M.M. respondeu ao tópico de A.M.M. em Programação - iniciantes
Na parte da média, que tem que ser igual a 70. Pensei nisso : media = (("nota1+nota2+nota3)/3)*10. Mas não sei se está certo. -
Outro Programa em scilab: dizer se o aluno foi aprovado ou não
A.M.M. postou um tópico em Programação - iniciantes
<> Boa noite! Gostaria de ajuda para implementar o seguinte problema em scilab: Um programa para calcular a situação final de um aluno com base nas suas três notas semestrais. O programa deve solicitar as três notas, soma-las e informar se o aluno está APROVADO (quando a soma das notas é maior ou igual a 70 ) ou REPROVADO (soma das notas inferior a 70). -
Gostaria de ajuda para reformular o seguinte programa para somar todos os dígitos que compõe a matriz. Como posso proceder? #include <stdio.h> #include <stdlib.h> #define TAM 100 #define LARGE 50 int main( void ) { system("cls"); int matriz[ TAM ][ LARGE ] = { {3,7,1,0,7,2,8,7,5,3,3,9,0,2,1,0,2,7,9,8,7,9,7,9,9,8,2,2,0,8,3,7,5,9,0,2,4,6,5,1,0,1,3,5,7,4,0,2,5,0}, {4,6,3,7,6,9,3,7,6,7,7,4,9,0,0,0,9,7,1,2,6,4,8,1,2,4,8,9,6,9,7,0,0,7,8,0,5,0,4,1,7,0,1,8,2,6,0,5,3,8}, {7,4,3,2,4,9,8,6,1,9,9,5,2,4,7,4,1,0,5,9,4,7,4,2,3,3,3,0,9,5,1,3,0,5,8,1,2,3,7,2,6,6,1,7,3,0,9,6,2,9}, {9,1,9,4,2,2,1,3,3,6,3,5,7,4,1,6,1,5,7,2,5,2,2,4,3,0,5,6,3,3,0,1,8,1,1,0,7,2,4,0,6,1,5,4,9,0,8,2,5,0}, {2,3,0,6,7,5,8,8,2,0,7,5,3,9,3,4,6,1,7,1,1,7,1,9,8,0,3,1,0,4,2,1,0,4,7,5,1,3,7,7,8,0,6,3,2,4,6,6,7,6}, {8,9,2,6,1,6,7,0,6,9,6,6,2,3,6,3,3,8,2,0,1,3,6,3,7,8,4,1,8,3,8,3,6,8,4,1,7,8,7,3,4,3,6,1,7,2,6,7,5,7}, {2,8,1,1,2,8,7,9,8,1,2,8,4,9,9,7,9,4,0,8,0,6,5,4,8,1,9,3,1,5,9,2,6,2,1,6,9,1,2,7,5,8,8,9,8,3,2,7,3,8}, {4,4,2,7,4,2,2,8,9,1,7,4,3,2,5,2,0,3,2,1,9,2,3,5,8,9,4,2,2,8,7,6,7,9,6,4,8,7,6,7,0,2,7,2,1,8,9,3,1,8}, {4,7,4,5,1,4,4,5,7,3,6,0,0,1,3,0,6,4,3,9,0,9,1,1,6,7,2,1,6,8,5,6,8,4,4,5,8,8,7,1,1,6,0,3,1,5,3,2,7,6}, {7,0,3,8,6,4,8,6,1,0,5,8,4,3,0,2,5,4,3,9,9,3,9,6,1,9,8,2,8,9,1,7,5,9,3,6,6,5,6,8,6,7,5,7,9,3,4,9,5,1}, {6,2,1,7,6,4,5,7,1,4,1,8,5,6,5,6,0,6,2,9,5,0,2,1,5,7,2,2,3,1,9,6,5,8,6,7,5,5,0,7,9,3,2,4,1,9,3,3,3,1}, {6,4,9,0,6,3,5,2,4,6,2,7,4,1,9,0,4,9,2,9,1,0,1,4,3,2,4,4,5,8,1,3,8,2,2,6,6,3,3,4,7,9,4,4,7,5,8,1,7,8}, {9,2,5,7,5,8,6,7,7,1,8,3,3,7,2,1,7,6,6,1,9,6,3,7,5,1,5,9,0,5,7,9,2,3,9,7,2,8,2,4,5,5,9,8,8,3,8,4,0,7}, {5,8,2,0,3,5,6,5,3,2,5,3,5,9,3,9,9,0,0,8,4,0,2,6,3,3,5,6,8,9,4,8,8,3,0,1,8,9,4,5,8,6,2,8,2,2,7,8,2,8}, {8,0,1,8,1,1,9,9,3,8,4,8,2,6,2,8,2,0,1,4,2,7,8,1,9,4,1,3,9,9,4,0,5,6,7,5,8,7,1,5,1,1,7,0,0,9,4,3,9,0}, {3,5,3,9,8,6,6,4,3,7,2,8,2,7,1,1,2,6,5,3,8,2,9,9,8,7,2,4,0,7,8,4,4,7,3,0,5,3,1,9,0,1,0,4,2,9,3,5,8,6}, {8,6,5,1,5,5,0,6,0,0,6,2,9,5,8,6,4,8,6,1,5,3,2,0,7,5,2,7,3,3,7,1,9,5,9,1,9,1,4,2,0,5,1,7,2,5,5,8,2,9}, {7,1,6,9,3,8,8,8,7,0,7,7,1,5,4,6,6,4,9,9,1,1,5,5,9,3,4,8,7,6,0,3,5,3,2,9,2,1,7,1,4,9,7,0,0,5,6,9,3,8}, {5,4,3,7,0,0,7,0,5,7,6,8,2,6,6,8,4,6,2,4,6,2,1,4,9,5,6,5,0,0,7,6,4,7,1,7,8,7,2,9,4,4,3,8,3,7,7,6,0,4}, {5,3,2,8,2,6,5,4,1,0,8,7,5,6,8,2,8,4,4,3,1,9,1,1,9,0,6,3,4,6,9,4,0,3,7,8,5,5,2,1,7,7,7,9,2,9,5,1,4,5}, {3,6,1,2,3,2,7,2,5,2,5,0,0,0,2,9,6,0,7,1,0,7,5,0,8,2,5,6,3,8,1,5,6,5,6,7,1,0,8,8,5,2,5,8,3,5,0,7,2,1}, {4,5,8,7,6,5,7,6,1,7,2,4,1,0,9,7,6,4,4,7,3,3,9,1,1,0,6,0,7,2,1,8,2,6,5,2,3,6,8,7,7,2,2,3,6,3,6,0,4,5}, {1,7,4,2,3,7,0,6,9,0,5,8,5,1,8,6,0,6,6,0,4,4,8,2,0,7,6,2,1,2,0,9,8,1,3,2,8,7,8,6,0,7,3,3,9,6,9,4,1,2}, {8,1,1,4,2,6,6,0,4,1,8,0,8,6,8,3,0,6,1,9,3,2,8,4,6,0,8,1,1,1,9,1,0,6,1,5,5,6,9,4,0,5,1,2,6,8,9,6,9,2}, {5,1,9,3,4,3,2,5,4,5,1,7,2,8,3,8,8,6,4,1,9,1,8,0,4,7,0,4,9,2,9,3,2,1,5,0,5,8,6,4,2,5,6,3,0,4,9,4,8,3}, {6,2,4,6,7,2,2,1,6,4,8,4,3,5,0,7,6,2,0,1,7,2,7,9,1,8,0,3,9,9,4,4,6,9,3,0,0,4,7,3,2,9,5,6,3,4,0,6,9,1}, {1,5,7,3,2,4,4,4,3,8,6,9,0,8,1,2,5,7,9,4,5,1,4,0,8,9,0,5,7,7,0,6,2,2,9,4,2,9,1,9,7,1,0,7,9,2,8,2,0,9}, {5,5,0,3,7,6,8,7,5,2,5,6,7,8,7,7,3,0,9,1,8,6,2,5,4,0,7,4,4,9,6,9,8,4,4,5,0,8,3,3,0,3,9,3,6,8,2,1,2,6}, {1,8,3,3,6,3,8,4,8,2,5,3,3,0,1,5,4,6,8,6,1,9,6,1,2,4,3,4,8,7,6,7,6,8,1,2,9,7,5,3,4,3,7,5,9,4,6,5,1,5}, {8,0,3,8,6,2,8,7,5,9,2,8,7,8,4,9,0,2,0,1,5,2,1,6,8,5,5,5,4,8,2,8,7,1,7,2,0,1,2,1,9,2,5,7,7,6,6,9,5,4}, {7,8,1,8,2,8,3,3,7,5,7,9,9,3,1,0,3,6,1,4,7,4,0,3,5,6,8,5,6,4,4,9,0,9,5,5,2,7,0,9,7,8,6,4,7,9,7,5,8,1}, {1,6,7,2,6,3,2,0,1,0,0,4,3,6,8,9,7,8,4,2,5,5,3,5,3,9,9,2,0,9,3,1,8,3,7,4,4,1,4,9,7,8,0,6,8,6,0,9,8,4}, {4,8,4,0,3,0,9,8,1,2,9,0,7,7,7,9,1,7,9,9,0,8,8,2,1,8,7,9,5,3,2,7,3,6,4,4,7,5,6,7,5,5,9,0,8,4,8,0,3,0}, {8,7,0,8,6,9,8,7,5,5,1,3,9,2,7,1,1,8,5,4,5,1,7,0,7,8,5,4,4,1,6,1,8,5,2,4,2,4,3,2,0,6,9,3,1,5,0,3,3,2}, {5,9,9,5,9,4,0,6,8,9,5,7,5,6,5,3,6,7,8,2,1,0,7,0,7,4,9,2,6,9,6,6,5,3,7,6,7,6,3,2,6,2,3,5,4,4,7,2,1,0}, {6,9,7,9,3,9,5,0,6,7,9,6,5,2,6,9,4,7,4,2,5,9,7,7,0,9,7,3,9,1,6,6,6,9,3,7,6,3,0,4,2,6,3,3,9,8,7,0,8,5}, {4,1,0,5,2,6,8,4,7,0,8,2,9,9,0,8,5,2,1,1,3,9,9,4,2,7,3,6,5,7,3,4,1,1,6,1,8,2,7,6,0,3,1,5,0,0,1,2,7,1}, {6,5,3,7,8,6,0,7,3,6,1,5,0,1,0,8,0,8,5,7,0,0,9,1,4,9,9,3,9,5,1,2,5,5,7,0,2,8,1,9,8,7,4,6,0,0,4,3,7,5}, {3,5,8,2,9,0,3,5,3,1,7,4,3,4,7,1,7,3,2,6,9,3,2,1,2,3,5,7,8,1,5,4,9,8,2,6,2,9,7,4,2,5,5,2,7,3,7,3,0,7}, {9,4,9,5,3,7,5,9,7,6,5,1,0,5,3,0,5,9,4,6,9,6,6,0,6,7,6,8,3,1,5,6,5,7,4,3,7,7,1,6,7,4,0,1,8,7,5,2,7,5}, {8,8,9,0,2,8,0,2,5,7,1,7,3,3,2,2,9,6,1,9,1,7,6,6,6,8,7,1,3,8,1,9,9,3,1,8,1,1,0,4,8,7,7,0,1,9,0,2,7,1}, {2,5,2,6,7,6,8,0,2,7,6,0,7,8,0,0,3,0,1,3,6,7,8,6,8,0,9,9,2,5,2,5,4,6,3,4,0,1,0,6,1,6,3,2,8,6,6,5,2,6}, {3,6,2,7,0,2,1,8,5,4,0,4,9,7,7,0,5,5,8,5,6,2,9,9,4,6,5,8,0,6,3,6,2,3,7,9,9,3,1,4,0,7,4,6,2,5,5,9,6,2}, {2,4,0,7,4,4,8,6,9,0,8,2,3,1,1,7,4,9,7,7,7,9,2,3,6,5,4,6,6,2,5,7,2,4,6,9,2,3,3,2,2,8,1,0,9,1,7,1,4,1}, {9,1,4,3,0,2,8,8,1,9,7,1,0,3,2,8,8,5,9,7,8,0,6,6,6,9,7,6,0,8,9,2,9,3,8,6,3,8,2,8,5,0,2,5,3,3,3,4,0,3}, {3,4,4,1,3,0,6,5,5,7,8,0,1,6,1,2,7,8,1,5,9,2,1,8,1,5,0,0,5,5,6,1,8,6,8,8,3,6,4,6,8,4,2,0,0,9,0,4,7,0}, {2,3,0,5,3,0,8,1,1,7,2,8,1,6,4,3,0,4,8,7,6,2,3,7,9,1,9,6,9,8,4,2,4,8,7,2,5,5,0,3,6,6,3,8,7,8,4,5,8,3}, {1,1,4,8,7,6,9,6,9,3,2,1,5,4,9,0,2,8,1,0,4,2,4,0,2,0,1,3,8,3,3,5,1,2,4,4,6,2,1,8,1,4,4,1,7,7,3,4,7,0}, {6,3,7,8,3,2,9,9,4,9,0,6,3,6,2,5,9,6,6,6,4,9,8,5,8,7,6,1,8,2,2,1,2,2,5,2,2,5,5,1,2,4,8,6,7,6,4,5,3,3}, {6,7,7,2,0,1,8,6,9,7,1,6,9,8,5,4,4,3,1,2,4,1,9,5,7,2,4,0,9,9,1,3,9,5,9,0,0,8,9,5,2,3,1,0,0,5,8,8,2,2}, {9,5,5,4,8,2,5,5,3,0,0,2,6,3,5,2,0,7,8,1,5,3,2,2,9,6,7,9,6,2,4,9,4,8,1,6,4,1,9,5,3,8,6,8,2,1,8,7,7,4}, {7,6,0,8,5,3,2,7,1,3,2,2,8,5,7,2,3,1,1,0,4,2,4,8,0,3,4,5,6,1,2,4,8,6,7,6,9,7,0,6,4,5,0,7,9,9,5,2,3,6}, {3,7,7,7,4,2,4,2,5,3,5,4,1,1,2,9,1,6,8,4,2,7,6,8,6,5,5,3,8,9,2,6,2,0,5,0,2,4,9,1,0,3,2,6,5,7,2,9,6,7}, {2,3,7,0,1,9,1,3,2,7,5,7,2,5,6,7,5,2,8,5,6,5,3,2,4,8,2,5,8,2,6,5,4,6,3,0,9,2,2,0,7,0,5,8,5,9,6,5,2,2}, {2,9,7,9,8,8,6,0,2,7,2,2,5,8,3,3,1,9,1,3,1,2,6,3,7,5,1,4,7,3,4,1,9,9,4,8,8,9,5,3,4,7,6,5,7,4,5,5,0,1}, {1,8,4,9,5,7,0,1,4,5,4,8,7,9,2,8,8,9,8,4,8,5,6,8,2,7,7,2,6,0,7,7,7,1,3,7,2,1,4,0,3,7,9,8,8,7,9,7,1,5}, {3,8,2,9,8,2,0,3,7,8,3,0,3,1,4,7,3,5,2,7,7,2,1,5,8,0,3,4,8,1,4,4,5,1,3,4,9,1,3,7,3,2,2,6,6,5,1,3,8,1}, {3,4,8,2,9,5,4,3,8,2,9,1,9,9,9,1,8,1,8,0,2,7,8,9,1,6,5,2,2,4,3,1,0,2,7,3,9,2,2,5,1,1,2,2,8,6,9,5,3,9}, {4,0,9,5,7,9,5,3,0,6,6,4,0,5,2,3,2,6,3,2,5,3,8,0,4,4,1,0,0,0,5,9,6,5,4,9,3,9,1,5,9,8,7,9,5,9,3,6,3,5}, {2,9,7,4,6,1,5,2,1,8,5,5,0,2,3,7,1,3,0,7,6,4,2,2,5,5,1,2,1,1,8,3,6,9,3,8,0,3,5,8,0,3,8,8,5,8,4,9,0,3}, {4,1,6,9,8,1,1,6,2,2,2,0,7,2,9,7,7,1,8,6,1,5,8,2,3,6,6,7,8,4,2,4,6,8,9,1,5,7,9,9,3,5,3,2,9,6,1,9,2,2}, {6,2,4,6,7,9,5,7,1,9,4,4,0,1,2,6,9,0,4,3,8,7,7,1,0,7,2,7,5,0,4,8,1,0,2,3,9,0,8,9,5,5,2,3,5,9,7,4,5,7}, {2,3,1,8,9,7,0,6,7,7,2,5,4,7,9,1,5,0,6,1,5,0,5,5,0,4,9,5,3,9,2,2,9,7,9,5,3,0,9,0,1,1,2,9,9,6,7,5,1,9}, {8,6,1,8,8,0,8,8,2,2,5,8,7,5,3,1,4,5,2,9,5,8,4,0,9,9,2,5,1,2,0,3,8,2,9,0,0,9,4,0,7,7,7,0,7,7,5,6,7,2}, {1,1,3,0,6,7,3,9,7,0,8,3,0,4,7,2,4,4,8,3,8,1,6,5,3,3,8,7,3,5,0,2,3,4,0,8,4,5,6,4,7,0,5,8,0,7,7,3,0,8}, {8,2,9,5,9,1,7,4,7,6,7,1,4,0,3,6,3,1,9,8,0,0,8,1,8,7,1,2,9,0,1,1,8,7,5,4,9,1,3,1,0,5,4,7,1,2,6,5,8,1}, {9,7,6,2,3,3,3,1,0,4,4,8,1,8,3,8,6,2,6,9,5,1,5,4,5,6,3,3,4,9,2,6,3,6,6,5,7,2,8,9,7,5,6,3,4,0,0,5,0,0}, {4,2,8,4,6,2,8,0,1,8,3,5,1,7,0,7,0,5,2,7,8,3,1,8,3,9,4,2,5,8,8,2,1,4,5,5,2,1,2,2,7,2,5,1,2,5,0,3,2,7}, {5,5,1,2,1,6,0,3,5,4,6,9,8,1,2,0,0,5,8,1,7,6,2,1,6,5,2,1,2,8,2,7,6,5,2,7,5,1,6,9,1,2,9,6,8,9,7,7,8,9}, {3,2,2,3,8,1,9,5,7,3,4,3,2,9,3,3,9,9,4,6,4,3,7,5,0,1,9,0,7,8,3,6,9,4,5,7,6,5,8,8,3,3,5,2,3,9,9,8,8,6}, {7,5,5,0,6,1,6,4,9,6,5,1,8,4,7,7,5,1,8,0,7,3,8,1,6,8,8,3,7,8,6,1,0,9,1,5,2,7,3,5,7,9,2,9,7,0,1,3,3,7}, {6,2,1,7,7,8,4,2,7,5,2,1,9,2,6,2,3,4,0,1,9,4,2,3,9,9,6,3,9,1,6,8,0,4,4,9,8,3,9,9,3,1,7,3,3,1,2,7,3,1}, {3,2,9,2,4,1,8,5,7,0,7,1,4,7,3,4,9,5,6,6,9,1,6,6,7,4,6,8,7,6,3,4,6,6,0,9,1,5,0,3,5,9,1,4,6,7,7,5,0,4}, {9,9,5,1,8,6,7,1,4,3,0,2,3,5,2,1,9,6,2,8,8,9,4,8,9,0,1,0,2,4,2,3,3,2,5,1,1,6,9,1,3,6,1,9,6,2,6,6,2,2}, {7,3,2,6,7,4,6,0,8,0,0,5,9,1,5,4,7,4,7,1,8,3,0,7,9,8,3,9,2,8,6,8,5,3,5,2,0,6,9,4,6,9,4,4,5,4,0,7,2,4}, {7,6,8,4,1,8,2,2,5,2,4,6,7,4,4,1,7,1,6,1,5,1,4,0,3,6,4,2,7,9,8,2,2,7,3,3,4,8,0,5,5,5,5,6,2,1,4,8,1,8}, {9,7,1,4,2,6,1,7,9,1,0,3,4,2,5,9,8,6,4,7,2,0,4,5,1,6,8,9,3,9,8,9,4,2,2,1,7,9,8,2,6,0,8,8,0,7,6,8,5,2}, {8,7,7,8,3,6,4,6,1,8,2,7,9,9,3,4,6,3,1,3,7,6,7,7,5,4,3,0,7,8,0,9,3,6,3,3,3,3,0,1,8,9,8,2,6,4,2,0,9,0}, {1,0,8,4,8,8,0,2,5,2,1,6,7,4,6,7,0,8,8,3,2,1,5,1,2,0,1,8,5,8,8,3,5,4,3,2,2,3,8,1,2,8,7,6,9,5,2,7,8,6}, {7,1,3,2,9,6,1,2,4,7,4,7,8,2,4,6,4,5,3,8,6,3,6,9,9,3,0,0,9,0,4,9,3,1,0,3,6,3,6,1,9,7,6,3,8,7,8,0,3,9}, {6,2,1,8,4,0,7,3,5,7,2,3,9,9,7,9,4,2,2,3,4,0,6,2,3,5,3,9,3,8,0,8,3,3,9,6,5,1,3,2,7,4,0,8,0,1,1,1,1,6}, {6,6,6,2,7,8,9,1,9,8,1,4,8,8,0,8,7,7,9,7,9,4,1,8,7,6,8,7,6,1,4,4,2,3,0,0,3,0,9,8,4,4,9,0,8,5,1,4,1,1}, {6,0,6,6,1,8,2,6,2,9,3,6,8,2,8,3,6,7,6,4,7,4,4,7,7,9,2,3,9,1,8,0,3,3,5,1,1,0,9,8,9,0,6,9,7,9,0,7,1,4}, {8,5,7,8,6,9,4,4,0,8,9,5,5,2,9,9,0,6,5,3,6,4,0,4,4,7,4,2,5,5,7,6,0,8,3,6,5,9,9,7,6,6,4,5,7,9,5,0,9,6}, {6,6,0,2,4,3,9,6,4,0,9,9,0,5,3,8,9,6,0,7,1,2,0,1,9,8,2,1,9,9,7,6,0,4,7,5,9,9,4,9,0,1,9,7,2,3,0,2,9,7}, {6,4,9,1,3,9,8,2,6,8,0,0,3,2,9,7,3,1,5,6,0,3,7,1,2,0,0,4,1,3,7,7,9,0,3,7,8,5,5,6,6,0,8,5,0,8,9,2,5,2}, {1,6,7,3,0,9,3,9,3,1,9,8,7,2,7,5,0,2,7,5,4,6,8,9,0,6,9,0,3,7,0,7,5,3,9,4,1,3,0,4,2,6,5,2,3,1,5,0,1,1}, {9,4,8,0,9,3,7,7,2,4,5,0,4,8,7,9,5,1,5,0,9,5,4,1,0,0,9,2,1,6,4,5,8,6,3,7,5,4,7,1,0,5,9,8,4,3,6,7,9,1}, {7,8,6,3,9,1,6,7,0,2,1,1,8,7,4,9,2,4,3,1,9,9,5,7,0,0,6,4,1,9,1,7,9,6,9,7,7,7,5,9,9,0,2,8,3,0,0,6,9,9}, {1,5,3,6,8,7,1,3,7,1,1,9,3,6,6,1,4,9,5,2,8,1,1,3,0,5,8,7,6,3,8,0,2,7,8,4,1,0,7,5,4,4,4,9,7,3,3,0,7,8}, {4,0,7,8,9,9,2,3,1,1,5,5,3,5,5,6,2,5,6,1,1,4,2,3,2,2,4,2,3,2,5,5,0,3,3,6,8,5,4,4,2,4,8,8,9,1,7,3,5,3}, {4,4,8,8,9,9,1,1,5,0,1,4,4,0,6,4,8,0,2,0,3,6,9,0,6,8,0,6,3,9,6,0,6,7,2,3,2,2,1,9,3,2,0,4,1,4,9,5,3,5}, {4,1,5,0,3,1,2,8,8,8,0,3,3,9,5,3,6,0,5,3,2,9,9,3,4,0,3,6,8,0,0,6,9,7,7,7,1,0,6,5,0,5,6,6,6,3,1,9,5,4}, {8,1,2,3,4,8,8,0,6,7,3,2,1,0,1,4,6,7,3,9,0,5,8,5,6,8,5,5,7,9,3,4,5,8,1,4,0,3,6,2,7,8,2,2,7,0,3,2,8,0}, {8,2,6,1,6,5,7,0,7,7,3,9,4,8,3,2,7,5,9,2,2,3,2,8,4,5,9,4,1,7,0,6,5,2,5,0,9,4,5,1,2,3,2,5,2,3,0,6,0,8}, {2,2,9,1,8,8,0,2,0,5,8,7,7,7,3,1,9,7,1,9,8,3,9,4,5,0,1,8,0,8,8,8,0,7,2,4,2,9,6,6,1,9,8,0,8,1,1,1,9,7}, {7,7,1,5,8,5,4,2,5,0,2,0,1,6,5,4,5,0,9,0,4,1,3,2,4,5,8,0,9,7,8,6,8,8,2,7,7,8,9,4,8,7,2,1,8,5,9,6,1,7}, {7,2,1,0,7,8,3,8,4,3,5,0,6,9,1,8,6,1,5,5,4,3,5,6,6,2,8,8,4,0,6,2,2,5,7,4,7,3,6,9,2,2,8,4,5,0,9,5,1,6}, {2,0,8,4,9,6,0,3,9,8,0,1,3,4,0,0,1,7,2,3,9,3,0,6,7,1,6,6,6,8,2,3,5,5,5,2,4,5,2,5,2,8,0,4,6,0,9,7,2,2}, {5,3,5,0,3,5,3,4,2,2,6,4,7,2,5,2,4,2,5,0,8,7,4,0,5,4,0,7,5,5,9,1,7,8,9,7,8,1,2,6,4,3,3,0,3,3,1,6,9,0}, };//Matriz do problema 13 do project euler. printf("\n\n"); system("pause"); return 0; } <>
-
Gostaria de saber como modificar o programa abaixo para gerar um triângulo de pascal da seguinte forma: 1 1 1 1 2 1 1 3 3 1 1 4 6 4 1 1 5 10 10 5 1 1 6 15 20 15 6 1 1 7 21 35 35 21 7 1 1 8 28 56 70 56 28 8 1 1 9 36 84 126 126 84 36 9 1 1 10 45 120 210 252 210 120 45 10 1 #include <stdio.h> #include <stdlib.h> int main (void) { unsigned long long int i,j, ntemp; double fat1 ,fat2 , fat3; int n; printf (" Entre com o valor de n: "); scanf ("%d" ,&n); if(n <=0) { printf ("\ nValor Digitado Erradamente!\n\n"); return 1; } system ("cls "); printf ("\n\n\ nTriangulo de Pascal \n"); printf (" - - - - - - - - - - - - - - - - - - - - -\n"); for (i=0;i <=( unsigned )n;i++) { for (j=0;j <=i;j++) { fat1=fat2=fat3=1; ntemp =i; while (ntemp >0) { fat1 *= ntemp; ntemp --; } ntemp =j; while (ntemp >0) { fat2 *= ntemp; ntemp --; } ntemp =i-j; while (ntemp >0) { fat3 *= ntemp; ntemp --; } printf ("\t%.0 f",fat1 /( fat2 * fat3 )); } printf ("\n"); } return 0; } << <>
-
Como faço um programa que seja capaz de implementar a fórmula abaixo com as seguintes características: Solicitar o valor do inteiro N qualquer maior que zero. Apresentar a série para cada interação de A(i) até atingir o valor de N. Apresentar no final da interação do valor de A(N). Fazer de acordo com o exemplo abaixo: Sequenia Numerica!!! -------------------- O valor para A(1) = 1.000000 O valor para A(2) = 2.500000 O valor para A(3) = 4.166667 O valor para A(4) = 5.875000 O valor para A(5) = 7.591667 O valor para A(6) = 9.309722 O valor para A(7) = 11.027976 O valor para A(8) = 12.746255 O valor para A(9) = 14.464536 O valor para A(10) = 16.182818 O valor para A(11) = 17.901100 O valor para A(12) = 19.619382 Estou em duvida em como faço. <>
-
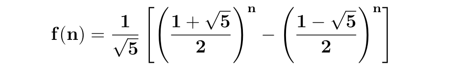
Desejo ajuda para implementar um programa que seja capaz de produzir a série de Fibonacci utilizando a fórmula e conforme o exemplo abaixo: O programa deverá solicitar a digitação de um número inteiro N qualquer. Se o usuário digitar um número N menor que zero, o programa deve ser capaz de atribuir o valor zero a N neste caso. Não pode ser utilizado variáveis do tipo FLOAT ou DOUBLE. Desde já, agradeço. #include <stdio.h> #include <stdlib.h> #include <math.h> int main (void) { int n; unsigned long long int i,f; double fa ,fb; printf (" Entre com o valor de n: "); scanf ("%d" ,&n); if(n <= 0) { printf ("Numero errado !\n"); return 1; } n - -; system ("cls "); printf ("\nA serie de Fibonacci \n"); printf ("\n- - - - - - - - - - - - - - - - - - - -\n"); printf ("\n"); for(i=0;i <= ( unsigned )n;i++) { fa = pow ((1+ sqrt (5) ) /2. ,i); fb = pow ((1 - sqrt (5) ) /2. ,i); f = ( double ) ((1./ sqrt (5)) *(fa -fb)); printf ("%lld \n",f); } return 0; } <>
-
Como refazer o programa em c abaixo utilizando 5 variáveis do tipo inteiro e estruturas do tipo do – while e for. #include <stdio.h> #include <stdlib.h> int main (void) { int a,b,c, temp; printf ("Ordenar tres numeros em ordem crescente \n\n"); printf ("\n Entre com o valor de a: "); scanf ("%d" ,&a) ; printf ("\n Entre com o valor de b: "); scanf ("%d" ,&b) ; printf ("\n Entre com o valor de "); scanf ("%d" ,&c); system ("cls"); while (a > b || b > c) { if(a > b) { temp = a; a = b; b = temp ; } if(b > c) { temp = b; b = c; c = temp ; } } printf ("\n Resultado \n\n") ; printf ("%d\t%d\t%d\n",a,b,c) ; return 0; } <>
-
Gostaria que me ajudassem a implementar as estruturas switch – case no programa em c a seguir. # include < stdio .h > # include < stdlib .h> int main ( void ) { char ch; printf (" Digite uma tecla e confirme com <ENTER >: ") ; ch = getchar () ; system (" cls ") ; printf ("\ nResultado \n"); if(ch >= ’a’ && ch <= ’z’) printf (" voce digitou uma letra minuscula !\n"); else if (ch >= ’A’ && ch <= ’Z’) printf (" voce digitou uma letra maiuscula !\n") ; else if (ch >= ’0’ && ch <= ’9’) printf (" voce digitou um digito !\n"); else printf (" voce digitou um caracter especial !\n"); return 0; }
-
<> Boa noite, estou em dúvida do que devo fazer para trocar o comando for do programa abaixo por while. #include <stdio.h> #include <stdlib.h> int main (void) { system ("cls"); int i,num ; unsigned long long int fat=1; printf ("Fatorial de um Numero \n"); printf ("Entre com o numero nao negativo : "); scanf ("%d",&num); if (num>= 0) for(i=1;i <= num;i++) fat *=i; else { printf ("\n Nao se pode calcular o fatorial de numero negativo\n"); system ("pause"); return 1; } printf ("\n O fatorial de %d eh: %lld\n",num ,fat); system ("pause"); return 0; }
-
<> Boa noite estou tentando refazer o programa que segue abaixo para que ele leia apenas números inteiros e diga se são pares ou ímpares, sem aceitar letras ou números fracionados e caso entre letras ou números fracionados ele peça para digitar um número novamente. Se puderem me ajudar agradeço. #include <stdio.h> #include <stdlib.h> int main (void) { int nr; do { printf ("Digite um numero. 0 para encerrar : "); scanf ("%d",&nr); if (nr%2==0) /*se nr for divisivel por 2(O resto da divisão por 2 for 0)*/ printf ("O numero eh par\n"); else printf ("O numero eh impar\n"); system ("pause"); system ("cls"); }while (nr != 0); //enquanto nr for diferente de 0 return 0; }
Sobre o Clube do Hardware
No ar desde 1996, o Clube do Hardware é uma das maiores, mais antigas e mais respeitadas comunidades sobre tecnologia do Brasil. Leia mais
Direitos autorais
Não permitimos a cópia ou reprodução do conteúdo do nosso site, fórum, newsletters e redes sociais, mesmo citando-se a fonte. Leia mais
