-
Posts
12 -
Cadastrado em
-
Última visita
Reputação
9-
beggarjs alterou sua foto pessoal
-
@arfneto Obrigado por essa explicação completa. Não tinha conhecimento do sin() para fazer os testes, no livro ele não é muito abordado. mas vai ser de grande ajuda agora. Obrigado de verdade por sua ajuda. edit: fiz o teste usando sin() e passei longe de acertar. Vou recomeçar.
-
@Midori Olá, ainda estou com dificuldade de entender, porém acho que cheguei em um resultado. #include <stdio.h> #include <stdlib.h> #include <math.h> const float pi = 3.1414592; int fatorial(int num_fat){ int i, fat_func = 1; for(i = 1; i <= num_fat; i++){ fat_func *= i; } return fat_func; } double calc_seno(double x){ int n, exp = 3; double seno_func = 0; for(n = 0; n < 5; n++){ seno_func += pow(-1.0, n)*pow(x, 2*n+1)/fatorial(2*n+1); } return seno_func; } int main(){ double angulo, seno, radianos; printf("Digite o valor de um ângulo em graus: "); scanf("%lf",&angulo); radianos = (pi*angulo)/180; seno = calc_seno(radianos); printf("Seno %lf\n",seno); return 0; } Eu fiz os testes usando a calculadora e a principio ele ta retornando o valor certo. encontrei muitas resoluções na internet porém eram com o seno do angulo e não do radiando. Enfim, saberia me dizer se agora está correto?
-
Ótimo vou trabalhar na resolução e mostro o resultado aqui depois. Obrigado.
-
Obrigado, não prestei a devida atenção no enunciado. A parte do contador eu acredito que consiga fazer sim, porém a parte dos sinais eu já não sei ao certo como posso fazer. Seria só multiplicar por -1?
-
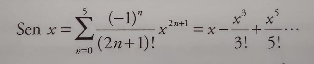
Então eu estou com dificuldade de encontrar onde eu errei nesse exercício. Já fui atrás de formulas e resoluções, mas nada que me fizesse entender como de fato funciona o código. Se poderem me ajudar ficarei grato. Exercício: Faça uma função que receba como parâmetro o valor de um ângulo em graus e calcule o valor do seno desse ângulo usando a sua respectiva série de Taylor: em que x é o valor do ângulo em radianos. Considere pi = 3.1414952 e N variando de 0 até 5 Segue a baixo o meu código. (Estou aprendendo funções) #include <stdio.h> #include <stdlib.h> #include <math.h> const float pi = 3.1414592; int fatorial(int num_fat){ int k, fat = 1; for(k = 1; k <= num_fat; k++){ fat *= k; } return fat; } float calculo_seno(float rad){ int i; float seno = 0; for(i = 1; i <= 5; i++){ seno += rad - (pow(rad,i)/fatorial(i)); } return seno; } int main(){ float angulo_rad, seno_ang; printf("Entre com o valor de um ângulo: "); scanf("%f",&angulo_rad); angulo_rad = (pi*angulo_rad)/180; seno_ang = calculo_seno(angulo_rad); printf("Valor do seno = %f\n", seno_ang); return 0; }
-
@arfneto Entender 100% eu não entendi, já estou com certa dificuldade para aprender esse assunto e o modo do qual você me mostrou é um pouco mais complicado para mim (lembrando que esse é meu primeiro contato com a linguagem). mas aos poucos estou tentando aplicar e compreender melhor o que me foi passado, agora mesmo estava fazendo mais exercícios e apliquei o typedef para ver como funciona (o livro também sita esse comando). Não sei se pode por links de outros lugares aqui (se não poder eu apago), mas gostaria de deixar meu github caso você queira dar uma olhada em como anda minha compreensão da linguagem, lá tem um repositório com os exercícios do livro que estou fazendo. https://github.com/joaosilva-d3v/LinguagemC_Andre-Backes_Exercicios @arfneto Entender 100% eu não entendi, já estou com certa dificuldade para aprender esse assunto e o modo do qual você me mostrou é um pouco mais complicado para mim (lembrando que esse é meu primeiro contato com a linguagem). mas aos poucos estou tentando aplicar e compreender melhor o que me foi passado, agora mesmo estava fazendo mais exercícios e apliquei o typedef para ver como funciona (o livro também sita esse comando). Não sei se pode por links de outros lugares aqui (se não poder eu apago), mas gostaria de deixar meu github caso você queira dar uma olhada em como anda minha compreensão da linguagem, lá tem um repositório com os exercícios do livro que estou fazendo. https://github.com/joaosilva-d3v/LinguagemC_Andre-Backes_Exercicios
-
@arfneto Muito obrigado pelas dicas. Vou tentar me policiar melhor a partir de agora. O problema é que quando estudamos por um livro acreditamos que o autor tá fazendo do melhor modo possível, o que não é o caso kk. Para caso de curiosidade o livro que estou usando é Linguagem C, completa e descomplicada, por André Backes.
-
@devair1010 Muito obrigado pela ajuda!
-
@devair1010 Muito obrigado pela explicação. Acabei testando aqui com a var aux (como auxiliar) e deu tudo certo. primeiro eu fiz sem o uso da variável aux, e fiz direto com cad1.idade e cad1.numero o que não deu certo (vide anexo de como fiz da primeira vez). Agora em sua opinião está certo? Obs: Existe algum modo de pegar esses dados sem o uso de uma variável auxiliar, como eu fiz ali ? #include <stdio.h> #include <stdlib.h> #include <string.h> struct cadastro{ char nome[50]; int idade; char rua[50]; int numero; }; int main(){ char aux[50]; struct cadastro cad1; printf("Digite seu nome: "); fgets(cad1.nome, 50, stdin); printf("Digite sua idade: "); fgets(aux, sizeof(aux), stdin); cad1.idade = atoi(aux); printf("Digite sua rua: "); fgets(cad1.rua, 50, stdin); printf("Digite o número: "); fgets(aux, sizeof(aux), stdin); cad1.numero = atoi(aux); printf("\n"); return 0; }
-
@devair1010 Muito obrigado. Estava vasculhando o fórum e vi um problema parecido. Vou fazer do modo como você mencionou e volto para concluir o tópico. Poderia só me explicar o que seria esse sizeof()? Posso usar fgets(str, 20, stdin)?
-
Então gente, estou aprendendo linguagem c. Chegando no capitulo de "Tipos definidos pelo programador" onde aprendemos a utilizar o STRUCT, notei um erro bem incomum (pelo menos para mim, que sou iniciante). Se eu rodar esse programa assim do jeito que está, na hora de fazer a leitura da variável rua (bloco 3) contida dentro de STRUCT, ela simplesmente não lê e pula para o próximo bloco para fazer a leitura do número (bloco 4), vide anexo .png (imagem de "erro"). porém se eu mudar o bloco 3 e coloca-lo entre o bloco 1 e 2 ele funciona perfeitamente. testei tanto no visual studio code quanto no code::blocks e em ambos o erro permanece. Lembrando que no livro a ordem é exatamente essa. Alguém poderia me explicar o por quê disso? Seria algum tipo de ordem de procedência, onde o que for char tem de vir primeiro? Obs: Fiz os teste e, nem o código de exemplo do livro funcionou como deveria. #include <stdio.h> #include <stdlib.h> struct cadastro{ char nome[50]; int idade; char rua[50]; int numero; }; int main(){ //bloco 1 struct cadastro cad1; printf("Digite seu nome: "); fgets(cad1.nome, 50, stdin); //bloco 2 printf("Digite sua idade: "); scanf("%d",&cad1.idade); //bloco 3 printf("Digite sua rua: "); fgets(cad1.rua, 50, stdin); //bloco 4 printf("Digite o número: "); scanf("%d",&cad1.numero); printf("\n"); return 0; }
-
Olá. Estou com certa dificuldade para resolver um problema, meu depurador (GDB/LLDB) simplesmente não funciona quando faço o uso da biblioteca <math.h>. Sei que para compilar ele pelo terminal tem de usar -lm, porém como uso o depurador direto pelo visual code não consigo achar uma configuração que possa resolver. Ele me apresenta esse pop-up pedindo para mexer nas configurações (acredito que seja isso), porém não sei como usá-las. Nem mesmo no site consigo uma resposta que pudesse me ajudar. OBS: Sou iniciante, peço desculpas por qualquer pergunta absurda que possa estar fazendo.
Sobre o Clube do Hardware
No ar desde 1996, o Clube do Hardware é uma das maiores, mais antigas e mais respeitadas comunidades sobre tecnologia do Brasil. Leia mais
Direitos autorais
Não permitimos a cópia ou reprodução do conteúdo do nosso site, fórum, newsletters e redes sociais, mesmo citando-se a fonte. Leia mais
