Ir ao conteúdo

Posts recomendados

Postado
Meio watt o circuito todo.

Não se esqueça que temos um capacitor. Sabe, potência ativa, reativa e potência aparente.

Falou

Veja, voce mesmo simulou o circuito e deu 2.2v sobre o led e 20mA...

Se voce medir a corrente de entrada do circuito vera que é 20mA e o circuito é 220V.

Se voce fizer o calculo do capacitor: 1/( 2 . pi . 60 . 220n) terá 12K. Logo ficara 2v sobre o led e 218 sobre o capacitor: 218 / 12k = 18mA.

Se voce calcular a resistencia media do led é: 2 / 0.018 = 110ohms.

O capacitor e um indutor tem um atraso, com isso a resistencia equivalente desse circuito nao sera os 12k11! Se voce fizer os calculos a impedancia daria exatamente 12K! e nao 12,11K

220V / 12000 = 18,33mA logo o consumo será 4,03W! Não há milagres.

O capacitor pade nao ter dissipação de calor mas o consumo será os mesmos 18mA da rede.

Postado

O foco do tópico já fugiu todo do original. mas tenho que falar isso ou entã você continuará espalhando coisa errada por aí.

Nào, você está equivocado. E sim, há um milagre.

Leia sobre potência aparente e você entenderá. Lembre-se que potência reativa não produz trabalho. Você não pode aplicar essa fórmula dessa forma.

Veja esse famoso triângulo:

Triangulo_de_potencia.png

Aquala potencia reativa é a potência produzida pelo capacitor. Além dela temos a ativa que seria a potência produzida pelo resistor e pelo LED.

Vou te mostrar a forma correta:

Temos que a potência média no circuito seja:

potencia_mdia.gif

E sabendo que podemos substituir cosseno de fi por:

cosseno.gif

Fica a potência assim:

potencia_2.gif

Podemos ainda simplificar e substituir Z, a impedância por:

impedancia.gif

Sabemos que Xc pode ser calculado assim:

Xc.gif

Xc = 5643,79 ohms. Usei 470nF. Acho que era esse o última valor comentado por você.

Então nossa fórmula de impedância fica:

nova_impedancia.gif

Z = 5839,72 ohms

Temos que calcular I máxima:

I_max.gif

Imax = (120*raiz de 2)/5839.72 = 0,029 A

Nossa potência fica:

potencia_3.gif

Que em uma simplificação final é:

potencia_final.gif

P = (0.029/1,414) * 120 * (1500/5839.72)

P = 0,0205 *120 * 0,257

P = 0.63222 W O capacitor usado é diferente.

Tá aí. Pouco mais de meio watt.

A potência aparente seria i^2*Z = 2.33VA para 120V ou 4.33VA para 220V como você calculou.

Milagres acontecem. uhahuauhauh

Falou

Postado
O foco do tópico já fugiu todo do original. mas tenho que falar isso ou entã você continuará espalhando coisa errada por aí.

Nào, você está equivocado. E sim, há um milagre.

Leia sobre potência aparente e você entenderá. Lembre-se que potência reativa não produz trabalho. Você não pode aplicar essa fórmula dessa forma.

Veja esse famoso triângulo:

Triangulo_de_potencia.png

Aquala potencia reativa é a potência produzida pelo capacitor. Além dela temos a ativa que seria a potência produzida pelo resistor e pelo LED.

Vou te mostrar a forma correta:

Temos que a potência média no circuito seja:

potencia_mdia.gif

E sabendo que podemos substituir cosseno de fi por:

cosseno.gif

Fica a potência assim:

potencia_2.gif

Podemos ainda simplificar e substituir Z, a impedância por:

impedancia.gif

Sabemos que Xc pode ser calculado assim:

Xc.gif

Xc = 5643,79 ohms. Usei 470nF. Acho que era esse o última valor comentado por você.

Então nossa fórmula de impedância fica:

nova_impedancia.gif

Z = 5839,72 ohms

Temos que calcular I máxima:

I_max.gif

Imax = (120*raiz de 2)/5839.72 = 0,029 A

Nossa potência fica:

potencia_3.gif

Que em uma simplificação final é:

potencia_final.gif

P = (0.029/1,414) * 120 * (1500/5839.72)

P = 0,0205 *120 * 0,257

P = 0.63222 W O capacitor usado é diferente.

Tá aí. Pouco mais de meio watt.

Milagres acontecem. uhahuauhauh

Falou

Ahh agora entendi, com o capacitor o consumo é menor mesmo, eu tinha entendido errado.. Foi mal..

Mas e a questao do pico de corrente?

Postado

Com o resistor de 1500 ohms, temos uma corrente máxima de:

(120*raiz de 2)/1500 = 120mA.

Não tenho certeza se posso usar essa formula aqui;

Tempo de carga do capacitor: T = 1.1*R*C = 1.1*1500*330nF = 0,00054 segundos. Ou 0.54mS.

O LED dá conta.

Muita gente já usou e usa essa circuito com capacitor e diz que o LEd não queima. Isso se os componentes forem bem dimensionados.

Falou

Postado
Com o resistor de 1500 ohms, temos uma corrente máxima de:

(120*raiz de 2)/1500 = 120mA.

Não tenho certeza se posso usar essa formula aqui;

Tempo de carga do capacitor: T = 1.1*R*C = 1.1*1500*330nF = 0,00054 segundos. Ou 0.54mS.

O LED dá conta.

Muita gente já usou e usa essa circuito com capacitor e diz que o LEd não queima. Isso se os componentes forem bem dimensionados.

Falou

Aproveitando, a formula de carga do capacitor é essa mesmo? o que seria esses "1.1" da formula?? E qual é a formula de descarga?

valeu.

  • Membro VIP
Postado

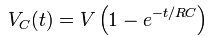
A fórmula geral da tensão sobre um capacitor é essa dai:

TensoemfunodotempoemumcircuitoRC.jpg

Se isolar a variável t nessa fórmula se tem a fórmula do tempo de carga ou descarga de um capacitor, via resistor.. Poupando o desdobramento se chega nisso dai:

T = RC x ln [(Vf-Vi) / (Vf-Vt)]

Onde

T = tempo de carga ou de descarga de um capacitor

R = resistor [ohms]

C = capacitor [Farads]

ln = logarítmo natural

Vf = Tensão final a qual se destina o capacitor depois de um tempo muito grande

Vi = Tensão inicial sobre o capacitor

Vt = Tensão que o capacitor atingirá no tempo T

A fórmula serve tanto para carga quanto para descarga do capacitor e mede o tempo que um capacitor leva para sair de Vi e chagar a Vt se submetido a degrau de tensão Vf

Dou um exemplo..

Imagine um capacitor de 1.000 uF

Saindo de zero volts e se carregando até 12 Volts se deixar

Através de um resistor de 100k

Qual o tempo que ele leva para atingir 8 Volts..

Dados

T = solicitado

C = 0,000001 F

R = 100.000

Vf = 12 Volts

Vi = 0 Volts

Vt = 8 Volts

T = 100.000 x 0,000001 x ln [(12-0) / (12-8)]

T = 0,1 x ln 3

T = 0,1 x 1,098 = 109,86 milisegundos

Tirando a prova real:

Se for testar na fórmula original, por exemplo, calculando a tensão sobre o capacitor depois desse tempo se acha o que segue:

Use

TensoemfunodotempoemumcircuitoRC.jpg

Vcap(0,10986) segundos = 12 x [ 1 - e ^ (-0,10986 / 100000 x 0,000001)]

Vcap(109,86 milisegundos) = 12 x [1 - e ^ -1,0986]

Vcap(109,86 milisegundos) = 12 x [1 - 0,333333333]

Vcap(109,86 milisegundos) = 12 x [0,666666667]

Vcap(109,86 milisegundos) = 7,99999999995 ou seja, os 8 Volts da premissa de cálculo...

Pois o tempo de 109,86 milisegundos é o tempo para a tensão no capacitor atingir os 8 Volts...

Na descarga, como ficaria????

Calculo do tempo para o mesmo capacitor sair de 10 Volts para chegar a 5 Volts considerando ele se descarregar até zero se deixar..

Vf = zero

Vi = 10 Volts

Vt = 5 Volts

T = 100000 x 0,000001 x ln [(0-10) / (0-5)]

T = 0,1 x ln 2

T = 0,693 x 0,1 = Tempo de descarga = 69,3 milisegundos..

Essa fórmula a tenho de cabeça e é das mais usadas em todo e qualquer projeto que envolva constante de tempo... Guardem com carinho...

Não é nada fácil de se encontrar essa fórmula nos compêndios bem como isolar a variável T de tempo dessa fórmula geral de carga e descarga também não é nada simples..

Esse dai, por exemplo, o capmath, citado pelo colega MatheusLPS não cita essa fórmula isolada para calcular o tempo de carga e descarga do capacitor...

  • Curtir 2
Postado

Bom, eu já decidi que farei um curso de eletrônica ou eletrotécnica na FATEC em Julho, certeza absoluta rs, muita informação estou doido aqui porque é a primeira vez que faço algo ligado diretamente em 220v. Hoje vou comprar mais peças e tentar novamente, algum pode me passar o esquema com as peças para eu comprar?

Seriam 3 Leds, do que vou precisar? Para ligar no 220v?

Vi que quando ligamos da um pico e por isso queimei os leds, tem algum esquema que protege os leds desse pico inicial? Ou então colocar um segundo botão de liga e desliga para ligar depois do sistema ter sido normalizado?

Grato pela atenção =]

  • Membro VIP
Postado
...

Vi que quando ligamos da um pico e por isso queimei os leds, tem algum esquema que protege os leds desse pico inicial? Ou então colocar um segundo botão de liga e desliga para ligar depois do sistema ter sido normalizado?

Grato pela atenção =]

Você viu o esquema que postei??? Que uso tem muito tempo sem queimar coisa nenhuma. Reparou que ele, além do capacitor de menor valor que aqueles 470 nF que viste, para 220 Volts ele, o meu esquema, com capacitor de 150 nF, tem um resistor de 1k5, justo para amortecer o pico inicial de corrente dos leds.

Té feito.. Só não fazes se não quiseres..

Postado
Você viu o esquema que postei??? Que uso tem muito tempo sem queimar coisa nenhuma. Reparou que ele, além do capacitor de menor valor que aqueles 470 nF que viste, para 220 Volts ele, o meu esquema, com capacitor de 150 nF, tem um resistor de 1k5, justo para amortecer o pico inicial de corrente dos leds.

Té feito.. Só não fazes se não quiseres..

Vi sim, só que te perguntei se precisava ser um de 150 nF x 630 Volts, se um de 150 nF x 400 Volts, serviria, e se esse sistema suporta 3 leds ou mais, só que não vi resposta =(

E no caso como uso 220v o diodo é 4007 correto? o 4004 é para 110v.

  • Membro VIP
Postado
Vi sim, só que te perguntei se precisava ser um de 150 nF x 630 Volts, se um de 150 nF x 400 Volts, serviria, e se esse sistema suporta 3 leds ou mais, só que não vi resposta =(

E no caso como uso 220v o diodo é 4007 correto? o 4004 é para 110v.

Como os led's estarão em série, alimentar um, dois, três ou 10 leds vai dar exatamemnte na mesma...

O capacitor pode ser de 150 nF x 400 Volts sim..

O Diodo 1N 4004 suporta até 400 Volts, veja ai:

Diodo1N40xx.jpg

Postado
Bom, eu já decidi que farei um curso de eletrônica ou eletrotécnica na FATEC em Julho, certeza absoluta rs, muita informação estou doido aqui porque é a primeira vez que faço algo ligado diretamente em 220v. Hoje vou comprar mais peças e tentar novamente, algum pode me passar o esquema com as peças para eu comprar?

Seriam 3 Leds, do que vou precisar? Para ligar no 220v?

Vi que quando ligamos da um pico e por isso queimei os leds, tem algum esquema que protege os leds desse pico inicial? Ou então colocar um segundo botão de liga e desliga para ligar depois do sistema ter sido normalizado?

Grato pela atenção =]

O circuito que o faller postou, com o resistor para amortecer esse pico, amortece, queimar não queima... Mas existe uma forma muito mais segura que usar um resistor para amortecer, o circuito descarrega esse pico direto pra massa protegendo o led desse pico... Vou fazer o esquema e jaja posto.

Não deu pra desenhar o circuito no PC, vou falar o calculo:

o circuito proposto foi um capacitor em serie com um resistor e um led, e em paralelo com o led um diodo...

O circuito que eu proponho é, um capacitor em serie com um diodo e também em serie com o led, ou seja, tudo em serie, e colocar um outro capacitor em paralelo com o led, ele ira eliminar esse pico para a massa...

Resistor eu creio que não precise pois não precisara amortecer nada, o capacitor eliminara totalmente esse pico, mas ele ira se carregar com o valor de pico, e não terá mais aquela variação de 2vrms... Então o calculo seria:

sobre os leds 6v 20mA... Sobre o capacitor em serie ficara 311 - 6v = 305v... Então calculando a reatancia daria 305/20mA = 15 250ohms... Então o valor do capacitor será 174n.

o diodo serve para proteger o led da tensão reversa... O capacitor em paralelo com o led eliminara esse pico quando ligar o circuito, veja que, quando ligar o circuito esse segundo cap também estará sem carga, logo será um curto quando ligar, eliminando de primeira esse pico, depois ele se carregara e sobre o led ficara uma tensão continua...

Esse capacitor pode ser até mesmo o mesmo valor que o primeiro, já que os dois dariam o mesmo tempo de carga... Mas aconselho a ter no min 1,5x o Valor do c1. Assim ele se carregara mais lentamente q o c1, logo, quando o c1 já estiver carregado, (no final no pico) o c2 ainda estará descarregando para a massa... Mas ai vem a pergunta, o c2 quando estiver na metade da carga já aumenta a resistência e pode permitir q o pico passe para o led, não, pois o c1 também estaria aumentando sua resistencia....

então o valor de c2 pode ser de 260n... Ou 330n.

pronto, agr seu circuito ta perfeito! Sem esse pico, protegendo seu led.

Outra coisa, eu aconselho a colocar um resistor na entrado do circuito para evitar o curto e o desgaste dos capacitores, um resistor de baixa resistorencia, pra quando você ligar o circuito, a era praticamente um curto por causa de c1 e c2, assim desgastando os capacitores... Pode ser um resistor de 560ohms... Veja q a impedância do circuito daria 15247ohms 20,59mA, então com mais 560ohms teria 15270ohms = 20,56mA com queda de tensão de 11v aproximadamente.. E potencia por volta de 230mW... Se quiser menos dissipação, pode colocar um resistor de 330ohns por exemplo...

  • Membro VIP
Postado

Se é para colocar outro resistor, na entrada, mais um capacitor, use o circuito que postei. É simples e está operando em diversos equipamentos tem mas de 10 anos alguns..

Esse dai..

Ledem127VAC.jpg

Capacitor de 150 nF x 400 V se for para 220 Volts

Para 1 led, para 10 led's, para 20 led's, o que seja..

Se for para múltiplos led's, coloque-os em contrafase, e elimine o diodo em antiparalelo ao led, assim:

Ligandoarraydeledsem120VAC.jpg

  • Curtir 1
Postado

O resistor que eu falei é de baixa potencia... Só para amortecer a carga dos capacitores... O capacitor extra é apenas um capacitor! Um resistor custa em trono de 10centavos r o capacitor desse de 200n 600v uns 50centavos de poliéster... O circuito não deixou de ser simples só porque acrescentei apenas um capacitor! Muito pelo contrario, com esse circuito você não teria nenhum pico sobre o led... Você disse que não queima, ok, não queima, mas todo componente tem uma corrente de pulso máximo mesmo que seja em tempo curto... Assim o led desgastaria e já teria sua vida encurtada... 10 anos? Um led pode funcionar por vários anos... Muito mais que 10 anos se for bem calculado sua corrente e trabalhar com folga..

veja bem, o circuito que eu mostrei foi o que você disse, mas com uma vantagem de nao ter esse pico, um capacitor a mais? A menos que onde o autor morar os capacitor for muito caro, ai pode nao compensar... Fica a escolha, só mostrei uma forma de tirar esse pico e aumentando ainda mais a vida útil do led... Se quiser ligar mais leds, só recalcular a reatancia do primeiro capacitor e do resistor... Se quiser que a vida útil do led seja muito maior, pode fazer o exemplo que dei, se quiser economizar 1 capacitor e ter a vida útil do led reduzida pelo desgaste então pode fazer o 1 exemplo.

Postado
Como os led's estarão em série, alimentar um, dois, três ou 10 leds vai dar exatamemnte na mesma...

O capacitor pode ser de 150 nF x 400 Volts sim..

O Diodo 1N 4004 suporta até 400 Volts, veja ai:

Diodo1N40xx.jpg

Então, um diodo de 1N 4004 ou 1N 4007 faram o mesmo papel neste sistema correto? É que já tenho aqui 8 diodos de 1N 4007 então já irei usar nesse sistema se não tiver problema.

Amanha compro esse capacitor de 150 nF x 400 e um resistor de 1k5 0,5w mas não é igual ao desenho, ele é igual a este no site serve?:

http://www.pro-tecc.co.za/store/index.php?main_page=product_info&products_id=11006

http://www.digikey.com/product-detail/en/CFR-50JB-52-1K5/1.5KH-ND/131

um site diz que ele é 1w outro diz que ele é 0,5w.

Bem logo estarei indo para loja comprar mais para testar.

Postado
O modelo é esse...

Confira os valores e ve se não errei algum...

147n? Não encontrei este componente =(

Confirma para mim se estes seriam os componentes?

http://www.soldafria.com.br/capacitor-poliester-47uf-x-250v-4754u74m7-p-465.html

http://www.soldafria.com.br/resistor-2k2-5-1w-p-4745.html

http://www.soldafria.com.br/capacitor-poliester-330nf-x-250v-334330k033uf-p-458.html

Postado

O capacitor de 4.7uf tem que ser mais que 250v, pois ele recebera pico de mais de 300v...

o capacitor de 174n pode ser de 150n, 330n não pode pois vai queimar os leds!!!

Ou você compra 2 capacitor de 330n e ponha os dois em serie que dara 165n... Em serie não precisa ser os dois de 400v, pois os 300v será dividido para os dois...

  • Curtir 1
Postado
O capacitor de 4.7uf tem que ser mais que 250v, pois ele recebera pico de mais de 300v...

o capacitor de 174n pode ser de 150n, 330n não pode pois vai queimar os leds!!!

Ou você compra 2 capacitor de 330n e ponha os dois em serie que dara 165n... Em serie não precisa ser os dois de 400v, pois os 300v será dividido para os dois...

Seguindo as recomendações montei este esquema, esta tudo correto então? =] Fiz o esquema com o Led UV, mas pretendo fazer dois sistemas, um com led normal de 3,4 v e 20mA e outro com leds UV que estão no esquema da imagem. Gostaria de saber quantos leds posso ligar nesse sistema? Por exemplo, se ligar 1 ou 10 da no mesmo ou 1 forçaria muito o led e 10 forçaria muito o capacitor ou resistor ? E ta certo mesmo colocar o resistor direto no cabo que vem do 220v O.o? Desculpe, mas não entendo nada disso, estou aprendendo tudo agora =(

post-848236-13884965160788_thumb.jpg

Postado

As ligações estão correta, mas o capacitor em paralelo não é de 4.7n! Tem que ser pelo menos 330n 400v no min!! Os leds estou vendo que são 3.8v cada ou 3.8v todos em serie??

E cada um é 50mA?

Postado
As ligações estão correta, mas o capacitor em paralelo não é de 4.7n! Tem que ser pelo menos 330n 400v no min!! Os leds estou vendo que são 3.8v cada ou 3.8v todos em serie??

E cada um é 50mA?

Agora o esquema esta correto né?

Vou usar ele com dois tipos de leds:

- Um desses com leds normais brancos que cada um consomem 3.2 volts cada ou algo assim e 20mA, para uma maquina de costura.

- Outro leds UV que consomem 3,8v de 50mA cada para um mata mosquito.

Esses são os LEDs que comprei

http://produto.mercadolivre.com.br/MLB-457512253-10x-led-uv-ultravioleta-9000mcd-resistores-frete-gratis-_JM

post-848236-1388496516821_thumb.jpg

Postado

Esta certo, mas você vai usar qual leds nesse circuito? Os uv de 50mA ou os normais?

Eu calculei o circuito para leds de 20mA 2v, se você por esses leds de 50mA vão ficar muito fraco.

E quantos V são os leds brancos? E corrente?

Postado
Esta certo, mas você vai usar qual leds nesse circuito? Os uv de 50mA ou os normais?

Eu calculei o circuito para leds de 20mA 2v, se você por esses leds de 50mA vão ficar muito fraco.

E quantos V são os leds brancos? E corrente?

Vou usar este nos leds normais para o circuito da imagem, mas são leds que precisam de mais de 2v e especificação é esta:

- Voltage: DC 3~3.6V

- Current: 15~20mA

Já a do Led UV a especificação é outra.

3.8V e 50mA

O que precisa ser mudado no esquema?

  • Membro VIP
Postado

Êta esqueminha que ficou ruinzinho de achar o capacitor...Quando a gente quer simplificar vem alguem para embatucar o samba..

Repito a sugestão, sem frescura, sem componente mosca branca e muito mais barato, simples e menor..

Melhor, testado e operando tem mais de 5 anos com certeza...

Ledem127VAC.jpg

Mas para que simplificar se dá para complicar, né???

  • Curtir 1

Crie uma conta ou entre para comentar

Você precisa ser um usuário para fazer um comentário

Criar uma conta

Crie uma nova conta em nossa comunidade. É fácil!

Crie uma nova conta

Entrar

Já tem uma conta? Faça o login.

Entrar agora

Sobre o Clube do Hardware

No ar desde 1996, o Clube do Hardware é uma das maiores, mais antigas e mais respeitadas comunidades sobre tecnologia do Brasil. Leia mais

Direitos autorais

Não permitimos a cópia ou reprodução do conteúdo do nosso site, fórum, newsletters e redes sociais, mesmo citando-se a fonte. Leia mais

×
×
  • Criar novo...